Tradução: Maria Elisa - Assessoria em Inglês e Alemão
Revisão: Renato Kodaira
O módulo de Referência de Tensão dos microcontroladores PIC16F627A, PIC16F628A e PIC16F648A consiste em uma rede de resistores em escada com 16 degraus, a qual provê uma referência de tensão selecionável. A escada de resistores é segmentada a fim de fornecer dois intervalos de valores da VREF e possui uma função de desativação para economizar energia quando a referência não está sendo utilizada. O registrador VRCON controla a operação da referência, como apresentado na Figura 11.1. O diagrama de blocos é mostrado na Figura 11.1.
11.1 Configuração da Referência de Tensão
O módulo de Referência de Tensão pode ter como saída 16 diferentes níveis de tensão para cada intervalo.
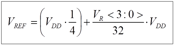
As equações utilizadas para calcular a saída do módulo de Referência de Tensão são as seguintes:
Se VRR = 1:

Se VRR = 0:

O tempo de ativação do módulo de Referência de Tensão deve ser considerado ao se alterar a saída da VREF (Tabela 17.3). O Exemplo 11.1 demonstra como a referência de tensão é configurada para uma tensão de saída de 1,25 V com VDD = 5,0 V.
|
|
|
R/W-0 |
R/W-0 |
R/W-0 |
U-0 |
R/W-0 |
R/W-0 |
R/W-0 |
R/W-0 |
|
VREN |
VROE |
VRR |
--- |
VR3 |
VR2 |
VR1 |
VR0 |
|
bit 7 |
|
|
|
|
|
|
bit 0 |
|
|
bit 7 |
VREN: Bit de Habilitação da VREF |
|
|
1 = Circuito da VREF ligado |
|
|
0 = Circuito da VREF desligado, sem dreno IDD
|
|
bit 6 |
VROE: Bit de Habilitação da Saída da VREF |
|
|
1 = VREF tem saída no pino RA2 |
|
|
0 = VREF está desconectada do pino RA2
|
|
bit 5 |
VRR: Bit de Seleção do Intervalo de VREF |
|
|
1 = Intervalo de valores baixos |
|
|
0 = Intervalo de valores altos
|
bit 4
|
Não implementado: Lido como '0'
|
|
bit 3-0 |
VR<3:0>: Bits de Seleção do Valor de VREF 0 ≤ VR<3:0> ≤ 15 |
|
|
Quando VRR = 1: VREF = (VR<3:0>/24) * VDD |
|
|
Quando VRR = 0: VREF = 1/4 * VDD + (VR<3:0>/32) * VDD
|
|
|
Legenda:
R = bit de leitura
W = bit de escrita
U = bit não implementado (unimplemented), lido como '0'
-n = valor na POR
'1' = bit está ativado
'0' = bit está apagado
x = bit é desconhecido |

MOVLW 0x02 ;4 entradas multiplexadas
MOVWF CMCON ;em dois comparadores.
BSF STATUS,RP0 ;Selecionar banco 1
MOVLW 0x07 ;RA3-RA0 são configuradas
MOVWF TRISA ;como saídas
MOVLW 0xA6 ;Habilita VREF
MOVWF VRCON ;Configurado intervalo baixo com VR<3:0>=6
BCF STATUS,RP0 ;Selecionar banco 0
CALL DELAY10 ;delay de 10μs
11.2 Precisão/Erro da Referência de Tensão
O intervalo completo de VSS até VDD não pode ser abrangido devido à construção do módulo. Os transistores nas partes superior e inferior da rede de resistores em escada (Figura 11.1) impedem a VREF de se aproximar de VSS ou de VDD. O módulo de Referência de Tensão é derivado de VDD, e portanto a saída da VREF se altera com as flutuações de VDD. A precisão absoluta testada do módulo de Referência de Tensão pode ser encontrada na Tabela 17.3.
11.3 Operação durante a Hibernação
Quando o equipamento é removido da Hibernação através de uma interrupção ou de uma pausa no Temporizador Cão-de-Guarda, o conteúdo do registrador VRCON não é afetado. Para que o consumo de energia no modo de Hibernação seja minimizado, o módulo de Referência de Tensão deve ser desabilitado.
11.4 Efeitos de uma Reinicialização
A reinicialização do equipamento desabilita o módulo de Referência de Tensão, apagando o bit VREN (VRCON<7>). Esta reinicialização também desconecta a referência do pino RA2, apagando o bit VROE (VRCON<6>) e seleciona o intervalo de valores altos de tensão, apagando o bit VRR (VRCON<5>). Os bits de seleção do valor de VREF, VRCON<3:0>, também são apagados.
11.5 Considerações sobre Conexão
O módulo de Referência de Tensão opera independentemente do módulo Comparador. A saída do gerador de referência deve estar conectada ao pino RA2 se o bit TRISA<2> estiver ativado, e se o bit VROE, VRCON<6>, estiver ativado. A habilitação da saída do módulo de Referência de Tensão para o pino RA2 com um sinal de entrada presente aumentará o consumo de energia. A conexão do RA2 como saída digital com a VREF habilitada também aumentará o consumo de energia.
O pino RA2 pode ser utilizado como uma saída simples D/A (digital para analógica), com uma capacidade de direcionamento limitada. Devido à capacidade de direcionamento limitada, um buffer deve ser utilizado em conjunto com a saída do módulo de Referência de Tensão, para conexões externas com a VREF. A Figura 11.2 mostra um exemplo de buffer.

TABELA 11.1: REGISTRADORES ASSOCIADOS À REFERÊNCIA DE TENSÃO
|
Endereço |
Nome |
Bit 7 |
Bit 6 |
Bit 5 |
Bit 4 |
Bit 3 |
Bit 2 |
Bit 1 |
Bit 0 |
Valor na POR |
Valor em Todas as Outras Reinicializações |
|
9Fh |
VRCON |
VREN |
VROE |
VRR |
--- |
VR3 |
VR2 |
VR1 |
VR0 |
000- 0000 |
000- 0000 |
|
1Fh |
CMCON |
C2OUT |
C1OUT |
C2INV |
C1INV |
CIS |
CM2 |
CM1 |
CM0 |
0000 0000 |
0000 0000 |
|
85h |
TRISA |
TRISA7 |
TRISA6 |
TRISA5 |
TRISA4 |
TRISA3 |
TRISA2 |
TRISA1 |
TRISA0 |
1111 1111 |
1111 1111 |
Legenda: - = não implementado, lido como '0'